What Formulation Type Determines Real-World Performance More Than Any Other Factor The formulation type of a pesticide product determines how the active ingred...
READ MOREOther names: PP333, Chlorobutamol
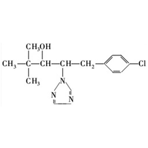
Chemical Name: (2RS,3RS)-1-(4-chlorophenyl)-4,4-dimethyl-2-(1H-1,2,4-triazol-1-yl)pentan-3-ol
CAS number: 76738-62-0
Molecular weight: 293.79
Physical and Chemical Properties: The original drug is a white solid. Melting point: 165-166°C, vapor pressure: 0.001 mPa at 20°C. Solubility at 20°C: 26 mg/L in water, 110 in acetone, 180 in cyclohexanone, and 150 in methanol. Storage at 20°C: over 2 years.
Uses: Paclobutrazol is a chemical agent. When diluted with water and sprayed on seedlings, it inhibits dominant apical growth and promotes the growth of lateral buds (tillers). The resulting seedlings appear short, stocky, and have a well-developed root system. This facilitates cultivation and allows for delayed transplanting.
Structural formula

| Physical and chemical properties | Density | 1.2±0.1 g/cm3 |
| Boiling point | 460.9±55.0 ℃ at 760 mmHg | |
| Melting point | 165-166℃ | |
| Molecular formula | C15H20ClN3O | |
| Molecular weight | 293.792 | |
| Flash point | 232.6±31.5 ℃ | |
| Exact mass | 293.129486 | |
| PSA | 50.94 | |
| LogP | 2.99 | |
| Appearance | Greyish-white to beige solid | |
| Vapour pressure | 0.0±1.2 mmHg at 25℃ | |
| Refractive index | 1.58 | |
| Storage conditions | Store in a tightly closed container in a cool, dry place. Keep away from oxidising agents. |
Year of Industry Experience
Varieties of Pesticides
Core Patents
Products to Serve Countries
We have independent intellectual property rights of efficient green pesticide new products, by the State Intellectual Property Office awarded the "national intellectual property advantage enterprise"
What Formulation Type Determines Real-World Performance More Than Any Other Factor The formulation type of a pesticide product determines how the active ingred...
READ MOREWhat Is a Technical Grade Active Ingredient and Why Does It Matter A Technical material in the context of agrochemicals is the active ingredient (AI) in its hi...
READ MOREWhat Is Agriculture Fertilizer and Why It Matters Agriculture has always been the backbone of human civilization, and at the heart of productive farming lies on...
READ MOREIntroduction to Agrochemical Technicals The global food supply chain rests on a foundation that is rarely visible to consumers but is absolutely essential to th...
READ MOREIn the agrochemical industry, fungicide technical and insecticide technical materials are the backbone of crop protection formulations. These high-purity active...
READ MORE